![]() |
![]() |
|
| Aspectos más o menos contradictorios del experimento en física |
|
|
|
Jaime Óscar Falcón Vega
conoce más del autor
|
||
| HTML↓ | ||
|
|
||
|
El experimento en física probablemente tiene sentidos tan diversos como los experimentos mismos en la historia de esta disciplina. En ella, con los nuevos puntos de vista más o menos imprevisibles que adopta en su desarrollo, un determinado experimento adquiere distintos significados.
Más aún, un experimento realizado en cierta época, es decir, cuando se hace por primera vez algo que es considerado un experimento, tiene aspectos más o menos contradictorios que le dan sentidos relativamente diferentes. Pienso que esta pluralidad es una buena razón para que quienes hacen epistemología le presten la atención que se merece al experimento en física. Pero aquí no trataré de epistemología; me mantendré tan cerca como sea posible de la física, así que este artículo será más o menos contradictorio, como es la física. El texto podría continuarse al infinito, ya que mi selección de experimentos no responde a ningún criterio sistemático, sólo tienen que ser comprensibles para un público amplio y tienen que dar una idea de algunos de los variados significados de la palabra “experimento” en “física”.
Esperienza matemática
1638. Galileo Galilei. Discorsi e Dimostrazioni Mathematiche, intorno à due nuove Scienze: “Imaginemos que esta página sea una pared erigida en forma perpendicular al horizonte (una parete eretta all’horizonte), con un clavo incrustado del que pende (pendere) una bola de plomo de una o dos onzas, la cual está suspendida (sospesa) del finísimo hilo AB de dos a tres codos de largo, perpendicular al horizonte (perpendicolare all’horizonte) y separada, aproximadamente dos dedos, de la pared; trácese en la pared una línea horizontal DC que corte en escuadra (segante à squadra) la perpendicular AB (il perpendicolo AB). Llevamos el hilo AB con la bola hasta AC y lo dejamos caer libremente. Primero lo veremos descender des- cribiendo el arco CB y sobrepasar de tal manera el punto B que, tras recorrer el arco BD, llegará casi hasta la paralela CD, sin llegar a tocarla por un pequeñísimo intervalo (per piccolissimo intervalo)”.
Interrumpo por un momento el experimento de Galileo para hacer valer una observación de Koyré: ¿Cómo es que vemos un péndulo en lo que siempre se había visto una plomada? La misma palabra “péndulo” significaba plomada. Galileo usa en italiano la palabra latina pendere: la bola pende del clavo, está supendida del hilo, que traza la perpendicular AB. Lo dejamos caer libremente: la bola describe el movimiento natural de los graves, traza la perpendicular hacia el centro del mundo; la perpendicular AB traza el movimiento de la bola, su movimiento natural suspendido. El péndulo es un objeto de la cosmología aristotélica, pero también de la práctica humana. Una parete eretta all’horizonte —el péndulo es el instrumento de los arquitectos para medir la perpendicular y de los marinos para medir la inclinación del barco. Según el lenguaje, la cosmología natural de Aristóteles y la práctica humana de la época de Gali- leo, el péndulo es una plomada. Ahora voy a falsificar el experimento de Galileo para demostrar que el péndulo es una plomada.
![]() Falsificación: “por un pequeñísimo intervalo. Entonces veremos la bola de plomo descender describiendo el arco DB y sobrepasar de tal manera el punto B que, tras recorrer el arco BC, llegará casi hasta la paralela CD, sin llegar a tocarla por dos pequeñísimos intervalos. Entonces la veremos descender describiendo el arco CB y sobrepasar de tal manera el punto B que, tras recorrer el arco BD, llegará casi hasta la paralela CD, sin llegar a tocarla por tres pequeñísimos intervalos. Y ahora, Signori, dejando que este movimiento descendente continúe hasta el final, verán con gusto que la bola finalmente se detiene en la perpendicular AB y así permanece para siempre describiendo la perpendicular, a menos que el péndulo sea de nuevo forzado a otra posición AC”.
La falsificación puede considerarse como un experimento aristotélico en un sentido eminente: describe un hecho de la observación. Incluso es una falsificación del péndulo de Galileo en la lógica de Popper: en contraposición con el experimento de Galileo, el péndulo no oscila eternamente. El experimento también pone en dificultades a la teoría aristotélica en otra dimensión: “Llevamos el hilo AB con la bola hasta AC y lo dejamos caer libremente. Primero lo veremos descender describiendo el arco CB y sobrepasar de tal manera el punto B que...”. Si el péndulo ya alcanzó su posición natural AB, ¿por qué se pasa la bola de B? Una justifi- cación sería que el péndulo, al ser forzado a AC, no alcanza sin dificultad su posición inicial AB; aunque finalmente llega a su posición natural AB, no lo hace inmediatamente. El movimiento es un acto del ser en tanto que es en potencia. Si esta justificación nos parece un pretexto, ¿por qué no también la de Galileo del piccolissimo intervalo? “No llega a tocarla [la parale- la CD] precisamente por el impedimento del aire y del hilo”. La respuesta está prejuzgada en el experimento de Galileo.
“De lo que podemos concluir verazmente que el ímpetu adquirido por la bola en el punto B al descender por el arco CB fue tanto que bastó para volver a empujarla por un arco similar BD a la misma altura; hecha esta experiencia (esperienza), y muchas veces reiterada, quisiera que ahora fijemos un clavo en la pared, como podría ser E o F, que sobresalga cinco o seis dedos rozando la perpendicular AB. Entonces el hilo AC, al volver con la bola por el arco CB, se topará en B con el clavo E, obligándole a recorrer la circunferencia BG descrita en torno al punto E. Con ello veremos lo que podrá hacer el mismo ímpetu que desde el punto B hizo subir el móvil por el arco BD hasta la altura de la horizontal CD. Ahora, Signori, verán con gusto que la bola se dirige hacia la horizontal en el punto G, y lo mismo sucedería si el obstáculo se colocara más abajo, como en F, con lo que la bola describiría el arco BI, terminando siempre su balanceo precisamente en la línea CD. Y si el choque con el clavo se hallase tan bajo que la parte del hilo que queda no fuese lo suficientemente larga para alcanzar la altura de CD (lo cual ocurriría si el clavo se encontrara más cerca del punto B que de la intersección de AB con CD), entonces el hilo saltaría sobre el clavo enrollándose en éste”.
Tal es el experimento de Galileo, cuyo objeto es el péndulo matemático. Consideremos primero la figura ABCD. Evidentemente es simétrica respecto a la perpendicular AB. Por simetría bilateral, las caídas por CB y por DB son equivalentes. Por lo tanto, sea soltado desde AC o AD, el péndulo llegará a B con el mismo ímpetu, lo cual muestra una simetría oculta. El móvil recorre el arco DB acelerándose hasta llegar a B por su gravedad y recorre el arco BD desacelerándose hasta llegar a D por su gravedad. El movimiento de bajada por DB y el de subida por BD son simétricos por inversión del tiempo. Ambas simetrías, la evidente y la oculta, hacen que el péndulo oscile eternamente por los arcos CB y DB,de uno a otro lado. Realizamos esta esperienza y la repetimos muchas veces. Es un hecho de la observación, acerca del cual vale la analogía platónica de la caverna. El péndulo matemático (lo real) oscila eternamente por sus dos simetrías. La pared, el clavo, el hilo y la bola (la sombra) son un “péndulo” que oscila como en el experimento falsificado.
Pero la clave del experimento galileano es el segundo clavo. El clavo en E rompe la simetría bilateral. El arco CB y el arco BG no son simétricos, tampoco lo son los movimientos por CB y GB. Verán “con gusto” que el péndulo oscila eternamente por los arcos CB y GB,de uno a otro lado al infinito. La sombra lo hace unas cuantas veces, mientras que el péndulo matemático oscilará para siempre por los arcos CB y GB. Galileo explica por qué esto es así: “Este experimento no deja lugar a dudas acerca de la verdad de nuestro supuesto; ya que siendo los arcos CB y DB iguales y colocándolos de la misma forma, el ímpetu adquirido en la caída por el arco CB es el mismo al alcanzado en la caída por el arco DB; pero el ímpetu en B, producto de la caída por el arco CB, puede elevar al mismo móvil (movile) por el arco BD; por lo tanto, el ímpetu obtenido en la caída BD es igual al que eleva al móvil por el mismo arco, desde B hasta D. De este modo, en general, todo ímpetu logrado en la caída por un arco es igual al que puede elevar al móvil por el mismo arco. Pero todos los ímpetus que causan una elevación por los arcos BD, BG y BI son iguales, ya que son producidos por el mismo ímpetu, obtenido en la caída por el arco CB, como lo muestra el experimento. Así, todos los ímpetus adquiridos en las caídas por los arcos DB, GB e IB son iguales”.
La última afirmación representa el sentido del experimento. Galileo sólo hace un postulado en la tercera jornada de los Discorsi: “Los grados de velocidad alcanzados por el mismo móvil en planos diversamente inclinados, son iguales cuando las alturas de los planos también son iguales”.
En el diálogo, Salviati, que representa a Galileo, dice que con una esperienza quiere acrecentar tanto la probabilidad del postulado que poco le falte para igualarse a una ben necessaria dimostrazioni.
Sin embargo, después del experimento dice: “Tomemos, por el momento, esto como un postulado, la verdad absoluta del cual se establecerá cuando observemos que la inferencia que de él se desprende corresponde y está perfectamente cotejada con la experiencia”. La primera confrontación con la experiencia en los Discorsi es el experimento del plano inclinado, inferido matemáticamente del postulado. El punto es que un solo experimento no demuestra nada.
Pero del experimento de Galileo es posible inferir un experimento pensado. “Con el clavo en E, llevamos el hilo AB con la bola hasta AC y lo dejamos caer libremente, primero lo veremos descender describiendo el arco CB y sobrepasar de tal manera el punto B que, tras recorrer el arco BG, llegará más allá de la paralela CD, hasta el punto G’ encima de CD y adelante de G”. Si el móvil sube de CD a G’ por su gravedad, entonces el péndulo ABCEG’ es el dispositivo de un perpetuum mobile. Con una máquina así, valiéndose sólo de la gravedad, puede sacarse agua de las minas, subirse piedras a lo alto de las torres, etcétera. “Pero suponga ahora que la bola sobrepasa el punto B y recorre el arco BG, casi hasta la paralela CD, sin llegar a tocarla por un pequeñísimo intervalo, pero alcanza el punto G” bajo G en el arco BG, por debajo de CD”. El piccolissimo intervalo G”G hace del péndulo ABCEG” nuevamente el dispositivo de un perpetuum mobile; pues “todo ímpetu adquirido en la caída por un arco es igual al que puede elevar al móvil por el mismo arco”; pero si el ímpetu obtenido en la caída por el arco CB es capaz de elevar al móvil por el arco BG sólo hasta el punto G” debajo de G, el ímpetu alcanzado en la caída por el arco G”B elevará al cuerpo por el arco BC hasta el punto C en la paralela CD por encima del punto G”. Pero un perpetuum mobile es imposible; por lo tanto el péndulo oscila eternamente por los arcos CB y GB, de uno a otro lado al infinito.
Este principio lo formuló Huygens en el Horologium Oscillatorium. Es imposible construir un mecanismo tal que su movimiento, sin aplicar fuerza, haga subir el centro de gravedad de los cuerpos que lo componen. Pero con este principio, el experimento del péndulo ya no es el mismo que antes, pues sólo confirma lo que ya sabíamos. Lo maravilloso del experimento de Galileo es que el péndulo nos dice lo que no sabíamos (personas con inclinaciones kantianas pueden decir que el péndulo galileano enuncia juicios sintéticos a priori). Galileo hace del péndulo un interlocutor más en el diálogo, cuyo discurso es matemático. Este es un rasgo del experimento en esa nuova sciencia a la cual llamamos “física”.
Matematización de los fenómenos
1785. Institut de France. Mémoires de l’Académie des Sciences. Memoria de Coulomb sobre la “ley fundamental de la electricidad”, “Determinación experimental de la ley según la cual cuerpos cargados con el mismo tipo de electricidad se repelen unos a otros”.
“En una memoria presentada a la Academia en 1784, determiné con un experimento las leyes que gobiernan la torsión en un hilo metálico. Encontré que esta fuerza es proporcional al ángulo de torsión, a la cuarta potencia del diámetro, e inversamente proporcional a la longitud del hilo. La constante de proporcionalidad depende del metal usado, y puede ser determinada experimentalmente.”
“En la misma memoria mostré que usando esta fuerza de torsión es posible medir con precisión fuerzas muy pequeñas; como una diez-milésima de grano. En la misma memoria presenté la primera aplicación de esta teoría, un intento de evaluar la fuerza constante atribuida a la adhesión en la fórmula que expresa la fricción en la superficie de un cuerpo sólido que se mueve por un fluido [...] Hoy someto a la Academia una balanza eléctrica construida de acuerdo con los mismos principios; mide exactamente el estado y la fuerza eléctrica de un cuerpo, por pequeña que sea su carga.”
Uno de los aspectos más notables de esta memoria es el modo de presentar los resultados. La memoria está dividida en dos partes: a) Construcción de la balanza. Coulomb comienza una detallada descripción de la construcción de la balanza de torsión. En dos páginas, acompañadas de una lámina con cinco figuras, menciona todas las partes de la balanza, incluyendo sus medidas y los materiales de que consiste. Con ello, es posible reconstruir la balanza de Coulomb. b) Ley fundamental de la electricidad. “La fuerza repulsiva entre dos esferas pequeñas cargadas con el mismo tipo de electricidad es inversamente proporcional al cuadrado de la distancia entre los centros de las dos esferas”.
Coulomb enuncia la “ley fundamental de la electricidad” y procede enseguida a describir el experimento, también en dos partes. En la primera utiliza poco menos de una página para exponer el procedimiento del experimento con la balanza de torsión, con lo que es posible repetir el experimento. La segunda, es la explicación y los resultados del experimento. Aproximadamente en el mismo espacio, explica cómo calcular la fuerza con que las esferas “cargadas con el mismo tipo de electricidad” se repelen. La esfera a está en un extremo del brazo de la balanza, el cual es una aguja suspendida de un hilo de metal con un contrapeso que la hace girar sobre un plano horizontal. Al girar, la aguja de la esfera a se mueve en un círculo en este plano. La posición de la esfera a se lee en una escala circular fijada horizontalmente, mientras que la esfera b está fija a la altura del plano horizontal de la balanza, sostenida por una barra. Para cambiar la posición de la esfera a se tuerce el hilo de metal de la balanza girando su punto de suspensión. Este giro, que representa el ángulo de torsión, se mide con un micrómetro en el plano de suspensión del hilo de metal. La operación de la balanza produce una tabla con dos entradas, la posición de la esfera a leída en la escala circular horizontal y el ángulo de torsión del hilo de metal leído con el micrómetro. La fuerza con que las esferas “cargadas con el mismo tipo de electricidad” se repelen se calcula usando las fórmulas de las “leyes de torsión en hilos de metal”. El resultado es la “ley fundamental de la electricidad”.
Esta memoria puede ser considerada como un tratado de epistemología de la matematización de los fenómenos. Es notable que, aparte de la descripción del procedimiento para “cargar” las esferas a y b con electricidad, la única mención de la misma en toda la memoria es la “ley fundamental de la electricidad”, referida a su pura presencia en ambas esferas a distintas separaciones, es decir, el fenómeno es “la ley fundamental de la electricidad” misma. Pero ¿cómo se le puede atribuir a un fenómeno el carácter de ley? o, dicho de otro modo, ¿cómo puede la descripción de la construcción y operación de la balanza de torsión establecer una ley universal? La respuesta está en lo anterior.
El principio epistemológico de la matematización de los fenómenos es la identidad del fenómeno con su forma matemática. La forma matemática del fenómeno es la ley. Esto vale del mismo modo para la “ley fundamental de la electricidad” que para las “leyes de torsión en hilos de metal”.
La forma de la “ley fundamental de la electricidad” no es característica de la electricidad. El comentario de Coulomb a este respecto es notable: “Los cuerpos magnéticos se atraen o se repelen unos a otros a distancias finitas de la misma manera en que los cuerpos cargados. El fluido magnético parece tener, si no por su naturaleza por lo menos por sus propiedades, una analogía con el fluido eléctrico. Con base en esta analogía podemos admitir que los dos fluidos obedecen a las mismas leyes. En todos los demás fenómenos de atracción o repulsión que la naturaleza nos presenta, como en el caso de la elasticidad y la afinidad química, las fuerzas parecen ser ejercidas sólo a distancias muy pequeñas, y parece ser, por lo tanto, que no son otra cosa que las mismas leyes de la electricidad y el magnetismo. En efecto, calculando por medios teóricos la atracción o repulsión de los elementos de un cuerpo, sabe- mos que las moléculas se repelen o se atraen siempre por fuerzas que son inversamente proporcionales al cubo de las distancias (o a una potencia menor). Particularmente, los cuerpos pueden actuar uno sobre el otro a distancias finitas; si la acción de las moléculas dependiera de una proporcionalidad inversa como el cubo de la distancia (o una potencia mayor), en general sus cuerpos no podrían actuar uno sobre el otro sino sólo a distancias infinitamente pequeñas.” Las leyes de la electricidad y del magnetismo, demostradas por los experimentos de Coulomb, están calcadas de la ley de la gravitación universal de Newton. Parece ser, por lo tanto, que todos los fenómenos de atracción o repulsión que la naturaleza nos presenta ¡obedecen a la misma ley! Llamaré a ésta “la ley de Coulomb”.
Esta ley es de acción a distancia. La epistemología de la matematización de los fenómenos es asombrosamente simple. El dispositivo experimental de Coulomb está diseñado para demostrar precisamente una ley de acción a distancia. Para ver la novedad del modo de proceder de Coulomb cito a Newton: “Es inconcebible que la materia bruta inanimada debiera, sin la mediación de otra cosa que no es material, operar sobre y afectar a otra materia sin contacto mutuo, como tiene que ser si la gravitación, en el sentido de Epicuro, es esencial e inherente a ella. Y ésta es una razón por la cual deseo que Usted no me adjudique la gravedad innata. Que la gravedad sea innata, inherente y esencial a la materia, de modo que un cuerpo puede actuar sobre otro a distancia a través de un vacío, sin la mediación de ninguna otra cosa, por la cual su acción y fuerza pueda ser transmitida de uno a otro, es para mí un absurdo tan grande, que no creo que ningún hombre que tenga en materias filosóficas una facultad competente de pensar pueda jamás caer en éste. La gravedad tiene que ser causada por un agente que actúa constantemente de acuerdo con ciertas leyes; pero si este agente es material o es inmaterial, eso lo dejo a la consideración de mis lectores”. Para ver si el agente es “material o inmaterial”, consideremos el problema de valores en la frontera.
Problema. Determinar una función u = f(x, y, z) que sea solución de la ecuación de Laplace en una región R:
![]() con valores dados en la frontera ∂R. Estos valores son de dos tipos. En el primero están los de la función u = f (x, y, z) y en el segundo, los de la derivada normal de la función:
![]() El problema de valores en la frontera determina unívocamente a la función u=f(x,y,z)en la región R hasta una constante aditiva.
Esta es la forma matemática de la ley de Coulomb. La solución u del problema es el potencial, la fuerza es el gradiente del potencial con un signo menos:
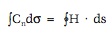
![]() El experimento de Coulomb plantea un problema de valores en la frontera del segundo tipo. En él la electricidad con que las esferas a y b están “cargadas” es cosa dada. La región R es el espacio sin las esferas, la frontera ∂R es la superficie de las esferas. La derivada normal del potencial en ∂R se desprende de la densidad de carga σ en la superficie de las esferas:
![]() la ε (constante dieléctrica) es unívoca en un sistema de unidades dado. La pregunta que deja abierta Newton está cancelada en la forma matemática de la ley de Coulomb. No se trata de ningún “agente”, “material o inmaterial”, entre los cuerpos. En la ley de Coulomb está prejuzgado un campo de fuerzas definido unívocamente por el potencial en todo el es- pacio fuera de las esferas a y b, cada vez que la balanza de torsión se pone en operación.
El potencial es la forma matemática de la acción a distancia. Pongamos al potencial en los términos de la teoría de funciones de variable compleja. Sea la función analítica:
f(x, y) = u(x, y) + i v(x, y)
su parte real u y su parte imaginaria v cumplen las condiciones de Cauchy-Riemann:
![]() los subíndices indican derivadas parciales. Puesto que una función analítica puede ser diferenciada cuan- tas veces se quiera, sus partes real e imaginaria tienen derivadas continuas de cualquier orden. Diferenciando las condiciones de Cauchy- Riemann, y sumando y restando, se obtiene que u y v son funciones potenciales:
![]() Se dice que v es la conjugada de u y que –u es la conjugada de v porque cumplen las condiciones de Cauchy- Riemann. Inversamente, dada una función potencial u se puede construir una conjugada v unívocamente hasta una constante aditiva. La teoría de funciones de variables complejas y la teoría del potencial en dos dimensiones son, en este sentido, equiva- lentes. Sea R una región en el plano complejo con frontera ∂R; sea f una función analítica en ∂R. La extensión analítica de f a la región R es unívoca. La noción de extensión analítica en la teoría de funciones puede ser considerada como la forma matemática pura de la acción a distancia.
Referida al experimento de Coulomb, la matematización de los fenómenos tiene una consecuencia para la epistemología de las matemáticas: todo experimento de electrostática produce una solución constatable experimentalmente de la ecuación de Laplace.
Comparado con el experimento de Galileo, parece que el de Coulomb no dice nada; no es cierto, la ley de Coulomb permitió la elaboración de la teoría del potencial; por ende, por lo menos contribuyó, más o menos indirectamente, a la teoría de funciones de variables complejas, las superficies de Riemann, las “variedades” (Mannigfaltigkeiten) topológicas y las diferenciables, etcétera.
Descubrimiento experimental
1820. Oersted. Experimenta circa effectum conflictus electrici in acum magneticum: “Los primeros experimentos sobre el tema que me propongo ilustrar se iniciaron en las clases de electricidad, galvanismo y magnetismo que impartí en el invierno que acaba de pasar. Con ellos parecía haberse mostrado que la aguja magnética era movida de su posición con la ayuda de un aparato galvánico, cuando el circuito galvánico estaba cerrado, pero no cuando estaba abierto, como intentaron en vano ciertos físicos muy célebres hace varios años. Sin embargo, como estos experimentos fueron efectuados con aparatos algo defectuosos y, a causa de esto, los fenómenos que fueron producidos no parecían suficientemente claros dada la importancia del tema, conseguí que mi amigo Esmarch, el ministro de justicia del rey, se me uniera para que los experimentos fueran repetidos y extendidos con el gran aparato galvánico que armamos juntos. Un hombre distinguido, Wleugel, caballero de la Orden Danesa, y presidente de nuestro Consejo Piloto, también estuvo presente en nuestros experimentos como colaborador y testigo. Además, fueron testigos ese excelentísimo hombre, decorado por el rey con el honor más alto, Hauch, cuyos conocimientos de ciencia natural han sido por largo tiempo celebrados; y ese hombre agudísimo, Reinhard, profesor de historia natural; Jacobsen, profesor de medicina, un hombre de sagacidad extrema al efectuar experimentos; y el químico más experimentado, Zeise, doctor en filosofía. En verdad yo mismo he hecho frecuentemente experimentos relacionados con la materia propuesta, pero de los fenómenos que me tocó descubrir así, repetí los experimentos en presencia de estos hombres tan cultos”.
No está claro en sus escritos si Oersted hizo su descubrimiento al estar dando clase o si sólo lo presentó por primera vez en sus clases. Esto se presta al mito del descubrimiento “por una observación accidental”. Lenard señala que el hecho de que Oersted tuviera una pila voltáica y una brújula sobre la mesa ya indica que estaba buscando tal efecto.
Whittaker, en A History of the Theories of Aether & Electricity, proporciona esta versión del descubri- miento: “Durante un curso de las lecciones que impartió en el invierno de 1819-1820 sobre ‘Electricidad, Galvanismo y Magnetismo’, se le ocurrió la idea de que los cambios observados en la aguja de la brújula durante una tormenta de rayos podrían dar la clave del efecto que estaba buscando; y esto lo llevó a pensar que el experimento debería ser intentado con el circuito galvánico cerrado en vez de abierto, e investigar si algún efecto se produce en una aguja magnética cuando se hace pasar una corriente eléctrica por un alambre cercano. Primero colocó el alambre en ángulo recto respecto a la aguja, pero no observó ningún resultado. Después del término de una lección en la que este experimento negativo había sido mostrado, se le ocurrió la idea de colocar el alambre paralelo a la aguja; al intentarlo observó una de- flección pronunciada, con lo que se estableció la relación entre el magnetismo y la corriente eléctrica”.
Pero dejemos de lado las intenciones que haya tenido Oersted. Lo que hace de este descubrimiento uno experimental es que no sabía lo que iba a descubrir al realizarlo. Pero además, tiene sentido decir que Oersted no sabía que fue lo que descubrió. La ley de la acción ejercida sobre un polo de magnetismo “austral” o “boreal” puesto a cualquier distancia de un alambre rectilíneo que conduce una corriente voltáica se puede enunciar así: “Trácese del polo una perpendicular al alambre; la fuerza sobre el polo está en ángulo recto a esta línea y al alambre, y su intensidad es proporcional al recíproco de la distancia”. Ésta, la ley del efecto descubierta por Oersted, fue anunciada por Biot y Savart en la Académie des Sciences poco después de que la noticia del experimento de Oersted llegó a Francia, el 30 de octubre de 1820. Un dispositivo experimental para demostrar la ley de Biot-Savart es una construcción geométrica. Se coloca el alambre que conduce una corriente voltáica sobre una recta perpendicular al plano de la mesa. Por la ley de Biot-Savart, las líneas de fuerza en cada plano horizontal que corta al alambre forman la familia de círculos concéntricos en el alambre. Una aguja magnetizada suspendida horizontalmente por su centro de gravedad traza precisamente esas líneas de fuerza; y puesto que la aguja traza las tangentes a cada círculo, su desviación es proporcional a los recíprocos de los radios de los círculos. Este experimento, el de la ley de Biot-Savart, no es el de Oersted, quien comienza la descripción de su experimento con dos definiciones: “Conéc- tense los polos opuestos del aparato galvánico con un alambre metálico, al cual, por brevedad, llamaremos en adelante el conductor de conexión o el alambre de conexión. Sin embargo, al efecto que tiene lugar en el conductor y en el espacio que lo rodea le da- remos el nombre de conflicto eléctrico”. El descubrimiento de Oersted es que ese “efecto” de la segunda definición, el “conflicto eléctrico”, desvía la aguja magnética. Observemos primero el parentesco del “conflicto eléctrico” con la ley de Biot-Savart, deteniéndonos en la descripción del experimento de Oersted: “Coloquemos la parte rectilínea de este alambre en posición horizontal sobre la aguja magnética debidamente suspendida y paralela a ella. Si es necesario, la unión del alambre puede ser doblada de forma tal que la parte correcta pueda tener la posición necesaria para el experimento. Una vez dispuesto así por el momento, la aguja magnética se moverá y, en efecto, bajo la parte del alambre que recibe electricidad más rápido desde el polo negativo del aparato galvánico, declinará hacia el oeste [...] El cable de unión, colocado en el plano horizontal en el cual se mueve la aguja magnética, balanceado mediante un contrapeso y paralelo a la aguja, no perturba ni hacia el este ni hacia el oeste, sino que sólo la hace temblar en el plano de inclinación, de manera que el polo cerca del cual la fuerza eléctrica negativa entra al cable, declina cuando está situado del lado oeste y se eleva cuando se sitúa al este [...] Si el cable de unión es colocado en un plano horizontal por debajo de la aguja magnética, todos los efectos son los mismos que cuando el plano está sobre la aguja, sólo que en dirección inversa, de forma que el polo de la aguja magnética bajo la cual se encuentra la parte del cable de unión que recibe la electricidad más rápidamente, desde el polo negativo del aparato galvánico, declina hacia el este”.
El solo hecho de que el alambre esté situado en un plano horizontal muestra que el dispositivo experimental de Oersted no estaba diseñado para descubrir la ley de Biot-Savart. Sin embargo, Oersted saca esta conclusión: “De manera similar, es posible inferir, a partir de lo observado, que este conflicto genera giros, pues ésta parece una condición sin la cual es imposible que la misma parte del ca- ble de unión, que cuando es colocado bajo el polo magnético lo lleva hacia el este y cuando es colocado por encima lo lleva hacia el oeste; pues ésta es la naturaleza de los giros, que los movimientos en partes opuestas tienen una dirección opuesta”.
Enseguida Oersted hace un comentario sorprendente para nosotros: “Más aún, el movimiento por círculos combinado con el movimiento progresivo, de acuerdo a la longitud del conductor, parece obligado a for- mar una cochlea o línea espiral, lo cual, sin embargo, si no estoy equivocado, no contribuye en nada a la explicación del fenómeno hasta ahora observado”.
¡Lo mismo podría decirse de la ley de Biot-Savart, que “no contribuye en nada a la explicación del fenómeno hasta ahora observado”! Para Oers- ted, que el “conflicto eléctrico” “efectúe giros” tiene un sentido que no es reductible a una ley geométrica. Oersted concluye con esta observación:
“Sólo agregaré esto a lo que ha sido dicho: que he demostrado en un libro publicado hace siete años que el calor y la luz están en conflicto eléctrico. Por observaciones que se han hecho valer recientemente podemos ahora concluir que el movimiento por giros también ocurre en estos efectos; y creo que esto contribuye mu- cho para iluminar los fenómenos que llaman la polaridad de la luz”.
Dice Whittaker que estos comentarios “recuerdan las especulaciones magnéticas de Descartes”. Es cierto, miremos cómo investiga Oersted al “conflicto eléctrico”: “Los efectos del cable de unión sobre la aguja magnética atraviesan vidrio, metal, madera, resina, cerámica, piedra; ya que si se interpone una placa de vidrio, metal o madera, no se destruye de ninguna manera, tampoco desaparecen si se interponen simultáneamente placas de vidrio, metal o madera; el efecto sólo parece aminorarse ligeramente. El resultado es el mismo al interponerse un disco de ámbar, una laca de pórfido, una vasija de cerámica, incluso llena de agua. Nuestros experimentos también han mostrado que los efectos mencionados no se modifican si la aguja magnética es encerrada en una caja de cobre llena de agua. No es necesario establecer que el paso de estos efectos a través de todos estos materiales nunca había sido observado en electricidad y magnetismo. Por tanto, los efectos que ocurren en el conflicto eléctrico son lo más diferente posible de los efectos de una fuerza eléctrica sobre otra [...] Una aguja de cobre suspendida como una magnética no es movida por el efecto del cable de unión. También las agujas de vidrio, o las de la llamada goma de laca, sujetas a los mismos experimentos, se mantienen estáticas [...] De todo esto podrá ser permisible aducir algunas consideraciones para la explicación de estos fenómenos [...] El conflicto eléctrico sólo puede actuar sobre materiales con partículas magnéticas. Todos los cuerpos no magnéticos parecen ser penetrables por el conflicto eléctrico; pero los magnéticos, o mejor dicho, sus partículas magnéticas, parecen resistir el paso de este conflicto, de ahí que puedan ser movidos por el impulso de las fuerzas contendientes [...] El conflicto eléctrico no sólo está confinado al conductor, sino, como ya hemos dicho, también está disperso al mismo tiempo en el espacio circundante, y esto es, en cierta forma, suficientemente claro a partir de las observaciones hasta ahora expuestas”.
Entonces sigue el pasaje: “De igual forma es posible inferir de lo que se ha observado que este conflicto genera giros”. Estos vórtices cartesianos no son simplemente una “consideración” “para la explicación de estos fenómenos”, como dice Oersted, son el objeto mismo de su experimento. Pero se refiere más bien a las intenciones de Oersted. No hay ninguna relación simple entre lo que estaba buscando y lo que descubrió.
Pero, ¿qué descubrió Oersted? No basta con decir que descubrió “la relación entre el magnetismo y la corriente eléctrica”. Oersted presenta con toda fuerza la novedad de su descubrimiento: “No es necesario establecer que el paso de los efectos a través de todos estos materiales, en electricidad y galvanismo, nunca antes había sido observado. Por lo tanto, los efectos que ocurren en el conflicto eléctrico son los más diferente posible de los efectos de una fuerza eléctrica sobre otra”. Morris Shamos comenta: “Salvo que ya se conocía que el efecto magnético de la Tierra atraviesa estos materiales”. Oersted, por lo visto, no habla de “magnetismo” (a no ser que tengamos la inocencia de pensar que cuando Oersted dice “conflicto eléctrico” lo que quiere decir es “campo magnético”). Es un hecho sorprendente que una consecuencia del descubrimiento de Oersted haya sido la desaparición del magnetismo.
Exactamente una semana después de que la noticia del descubrimiento de Oersted llegara a Francia, Ampère demostró, en la reunión de la Académie del 18 de septiembre, que “dos alambres paralelos que conducen corrientes se atraen si las corrientes van en la misma dirección, y se repelen si las corrientes fluyen en direcciones opuestas”. Este descubri- miento parece confirmar la noción de “conflicto eléctrico”. En el trabajo de Ampère la aguja magnética ya no está presente y en ninguna parte hay “magnetismo”, lo que existe es “el efecto [...] que ocurre en este conductor y en el espacio circundante”. Pero en el experimento de Ampère está otra cosa presente. En sus propias palabras: “Cuando M. Oersted descubrió la acción que ejercía una corriente en un imán, uno podría ciertamente haber sospechado la existencia de una acción mutua entre dos circuitos conduciendo corrientes; pero esto no era una consecuencia necesaria; pues una barra de fierro suave también actúa sobre una aguja magnetizada, aunque no haya una acción mutua entre dos barras de fierro suave.” La sospecha de “la existencia de una acción mutua entre dos circuitos conduciendo corrientes” está prejuzgada en la posición epistemológica de la escuela a la que pertenecía Ampère y que, en palabras de Whittaker, “explicaba todos los fenómenos físicos en términos de fuerzas iguales y en direcciones opuestas entre pares de partículas”. Pero la posición de Ampére está perfectamente expresada en el título de la memoria que presenta tres años después del descubrimiento de Oersted, una de las más celebres en la historia de la filosofía natural: “La teoría analítica de los fenómenos electrodinámicos, deducidos únicamente de la experiencia”.
Ampère es quien introduce el término “electrodinámica”. Para ver lo que esto significa, primero escribo la fórmula de la ley de Ampère (en notación vectorial para facilitar la lectura, a pesar de que el análisis vectorial no fue introducido sino hasta fines del siglo XIX):
![]() En la fórmula anterior ds y ds’ son “elementos” de circuitos eléctricos, r la línea que los une, i e i’ las intensidades de corriente, F la fuerza ponderomotríz entre los dos elementos de circuito; la constante depende de las unidades empleadas.
Medio siglo después, Maxwell dice que toda la teoría y el experimento se resumen en esta fórmula, “de la cual pueden ser deducidos todos los fenómenos, y que se mantendrá siempre como la fórmula cardinal de la electrodinámica”. Regresaré enseguida a este último punto. Primero me interesa otro lado de la ley de Ampère: la fórmula es, en su contexto histórico, el “acta de la reducción” del magnetismo a la electricidad. La “electrodinámica” es la aniquilación del magnetismo como realidad independiente de la electricidad y de la dinámica newtoniana. Ampère mismo explica el “fluido magnético” por medio de una teoría de “corrientes moleculares”. Según esto, efectivamente ¡todos los fenómenos pueden ser deducidos de esa fórmula!
La ley de Coulomb y la de Ampère ponen a la electricidad en términos de la electrostática y la electrodinámica. La realidad es “la electricidad”, en reposo y en movimiento, y la estática y la dinámica “newtonianas”. Voilà tout! En lo que respecta al “conflicto eléctrico” de Oersted, éste no forma parte de la fórmula, se encuentra anulado.
Medio siglo después del Treatise on Electricity and Magnetism de Maxwell, en su curso de física teórica, Sommer-feld enuncia la ley de Ampère en los siguientes términos:
“El número de líneas de corriente eléctrica que atraviesan una superficie arbitraria σ es acompañado por una tensión de circuito magnética sobre la curva s que limita a σ, la cual es igual tanto en magnitud como en dirección (Ley de concatenación electromagnética de Ampère)”.
Los “elementos de circuito” de Ampère eran “elementos” de los alambres en los circuitos eléctricos de sus dispositivos experimentales. La densidad de corriente C de Maxwell puede ser la pura corriente de desplazamiento D· de un campo eléctrico variable. No se trata ya ni de alambres ni de agujas magnetizadas; σ es una superficie “arbitraria”, s su frontera. Las “líneas” y los “tubos de fuerza” de Faraday alcanzan en las ecuaciones de Maxwell la forma de realidad físico-matemática; esta realidad es el campo electromagnético. Ni la ley de Ampère se mantuvo “siempre como la fórmula cardinal de la electrodinámica” ni el “conflicto eléctrico” de Oersted contribuyó a “la explicación” de los fenómenos observados.
Esto recuerda el comentario de Bachelard: “El error es necesario para alcanzar el fin. No hay tal cosa como verdades primeras, lo que hay son errores primeros [...] Soy el límite de mis ilusiones perdidas”. La “realidad” del campo electromagnético se convierte también en una “ilusión perdida” al aparecer la electrodinámica cuántica.
|
||
|
REFERENCIAS BIBLIOGRÁFICAS
Galileo Galilei. 1638. Diálogos acerca de dos nuevas ciencias. Losada, Buenos Aires, 1945.
Institut de France. 1785. Mémoires de l’Académie des Sciences, en Great Experiments in Physics, M. H. Shamos. Holt, Rinehart and Winston, Inc., 1959.
Newton I. Mathematical Principles of Natural Philosophy and his System of the World. (traducción de Motte). University of California Press, 1960.
Oersted. 1820. Experimenta circa effectum conflictus electrici in acum magneticum (traducción de J. E. Kempe) en Journal of the Society of Telegraph Engineers, vol. V, 1876.
Lenard, P. 1934. Great Men of Science. British Book Centre, Nueva York.
Whittaker, E. 1960. A History of the Theories of Aether & Electricity. Harper Torchbooks / The Science Library, Harper and Brothers, Nueva York, vol. I.
|
||
|
Jaime Óscar Falcón Vega†
Facultad de Ciencias, Universidad Nacional Autónoma de México.
_______________________________________________________________
como citar este artículo → Falcón Vega, Jaime Óscar. (2004). Aspectos más o menos contradictorios del experimento en física. Ciencias 75, julio-septiembre, 60-74. [En línea]
|
||
| ←Regresar al índice⁄artículo siguiente→ | ||









