![]() |
![]() |
|
| Un número y una sucesión que han hecho historia |
En este artículo se presentan algunas de las múltiples relaciones que tiene la sucesión de Fibonacci con diversos fenómenos. Entre ellas, se describe el vínculo que tiene esta sucesión con la razón aúrea.
|
|
|
Radmila Bulajich
conoce más del autor
|
||
| HTML ↓ | ←Regresar al índice ⁄artículo siguiente→ | |
|
Estrechamente vinculada con el arte, las ciencias y las matemáticas, la sucesión de Fibonacci ha intrigado a los matemáticos durante siglos; en parte, por su tendencia a presentarse en los lugares más imprevistos. A principios del siglo XIII, Leonardo de Pisa, mejor conocido como Leonardo Fibonacci, planteó en su libro Liber Abaci un problema que se hizo famoso por las diversas relaciones que se han encontrado, no sólo con las matemáticas, sino con múltiples fenómenos. El problema es el siguiente: un hombre pone en una jaula una pareja de conejos bebés. ¿Cuántas parejas pueden reproducirse en un año si suponemos que cada mes, cada pareja engendra una nueva pareja, la cual después del segundo mes se vuelve reproductiva?
La solución al problema es relativamente sencilla. Después del primer mes, la primera pareja crece, entonces tendremos una pareja madura. Después del segundo mes, ésta engendra una nueva pareja, por lo que tendremos dos parejas. Después del tercer mes, la primera pareja engendra otra y la pareja de conejos bebés madura, tenemos 3 parejas. Después del cuarto mes, cada una de las parejas maduras engendra otra y la pareja bebé madura, es decir, habrá 5 parejas. Si continuamos este proceso, después del quinto mes tendremos 8 parejas, después del sexto 13 parejas, etcétera. Esto puede verse claramente en la figura 1, donde las parejas maduras están representadas por los conejos grandes y las inmaduras por los pequeños.
Observemos que si contamos el número de parejas de conejos adultos, el de conejos bebés, así como el número total de parejas de conejos cada mes, todos van aumentando de la misma forma: 1, 1, 2, 3, 5, 8, 13,…
En la segunda mitad del siglo xix, la sucesión 1, 1, 2, 3, 5, 8, 13, 21, 34, 55, 89, 144, 233,…, en la cual cada término es igual a la suma de los dos anteriores —empezando con el tercer elemento— fue denominada por el matemático francés Edouard Lucas, la sucesión de Fibonacci y representa la primera sucesión recursiva —llamada así porque los términos sucesivos se encuentran a partir de relaciones con los términos anteriores— que se conoció en Europa. Es decir, si denotamos por Fn al n-ésimo término de la sucesión tenemos que:
|
||
![]() |
||
| Para que quede únicamente determinada es preciso proporcionar los dos números iniciales. Es decir, para tener la sucesión de Fibonacci, tenemos que definir que: | ||
![]() |
||
| Ralph Waldo Emerson, en su libro The Natural History of Intellect, menciona que “la sucesión de Fibonacci se encuentra en una gran variedad de fenómenos no relacionados entre sí”, razón por la cual se volvió tan famosa. Un ejemplo es la óptica de los rayos de luz, un fenómeno que nada tiene que ver con los conejos. Supongamos que tenemos dos placas de vidrio con distintos índices de refracción, pegados cara con cara como se muestra en la figura 2. | ||
![]() |
||
| Si lanzamos un rayo de luz, en principio se refleja internamente en cuatro superficies reflejantes antes de emerger. Más específicamente, puede pasar sin reflejarse en absoluto o pueden tener una, dos o tres reflexiones internas, antes de emerger. Potencialmente, puede presentar un número infinito de reflexiones antes de emerger —todas son trayectorias permitidas por las leyes de la óptica. Ahora bien, contemos las formas en que se pueden reflejar los rayos, para un número dado de reflexiones del rayo de luz, antes de emerger. Es 1 si no hay reflexión, 2 si permitimos una reflexión, 3 si son dos reflexiones, 5 si hay tres reflexiones, 8 trayectorias si permitimos cuatro reflexiones, etcétera. El número de trayectorias es 1, 2, 3, 5, 8, 13,… y forma una sucesión de Fibonacci (figura 3). | ||
![]() |
||
|
Consideremos ahora un problema totalmente distinto. Un niño quiere subir una escalera. El número máximo de escalones que puede subir al mismo tiempo es dos; es decir, puede subir uno o dos escalones a la vez. Si tenemos n escalones en total, ¿de cuántas formas distintas (Cn) puede subir los escalones?
Si hay únicamente un escalón, claramente sólo hay una forma. Si hay dos escalones, los puede subir de dos formas: un escalón a la vez o los dos juntos. Si hay tres escalones, entonces el número de formas en que puede subirlos es tres:
|
||
![]() |
||
|
Si hay cuatro escalones, el número de formas aumenta a C4 = 5 y son:
|
||
![]() |
||
|
si hay cinco escalones, el número de formas aumenta a C5=8 y son:
|
||
![]() |
||
|
Encontramos que el número de posibilidades crece como:
|
||
![]() |
||
|
Un problema similar es el siguiente: se tiene un edificio con 30 pisos y se quiere pintar cada piso de azul o de blanco, con la condición de que no haya dos pisos juntos pintados de azul. Hay que encontrar todas las formas posibles de pintar todos los pisos del edificio. La solución es análoga al problema anterior.
Finalmente, examinemos el árbol genealógico de un zángano —el macho de las abejas. Los huevos de las abejas obreras que no se fertilizan se convierten en zánganos; es decir, los zánganos no tienen padre, únicamente madre. Los huevos de las abejas reinas son fertilizados por los zánganos y se convierten en abejas hembras —sea obreras o reinas. Por lo tanto, los zánganos tienen un pariente —la madre— y dos abuelos —los parientes de la madre—, tres bisabuelos —los padres de la abuela y la madre del abuelo—, cinco tatarabuelos —dos por cada bisabuela y uno por el bisabuelo— y así sucesivamente. El número de parientes en el árbol genealógico de un zángano varía como una sucesión de Fibonacci 1, 1, 2, 3, 5, 8,…, como se muestra en la figura 4.
|
||
![]() |
||
|
La Razón aúrea
El número aúreo, también conocido como razón aúrea, divina proporción o número de oro, fue descubierto en la Antigüedad como relación o proporción entre partes de un cuerpo o entre cuerpos. Aparece en Los Elementos de Euclides en varios lugares. La primera definición de esta razón se encuentra, en relación con la proporción de áreas de polígonos, en el Libro II; la segunda definición, en relación a la proporción de segmentos, está en el Libro VI. Especialmente, Euclides usa la razón aúrea en la construcción del pentagrama en el Libro IV, y la del icosaedro y el dodecaedro en el Libro XIII.
Veamos una construcción simple para entender la definición que proporciona Euclides de la razón aúrea.
En la siguiente figura, la recta AB se divide por un punto C, de tal forma que
|
||
![]() |
||
| Si suponemos que el segmento original mide x + 1 y AC = x, podemos traducir la ecuación anterior como: | ||
![]() |
||
|
Resolviendo la ecuación, tenemos que
|
||
![]() |
||
|
El primer número se conoce como la razón aúrea y es
|
||
![]() |
||
|
que denotaremos como ϕ. Observemos que el inverso de este número es:
|
||
![]() |
||
|
y el cuadrado es:
|
||
![]() |
||
|
Es decir, el inverso se obtiene restándole 1 y el cuadrado sumándole 1. Tenemos además que ϕ es un número irracional.
¿Cómo esta división de la línea está relacionada con el pentágono? Recordemos que en cualquier polígono regular la suma de los ángulos interiores está dada por 180º(n–2), donde n es el número de lados. Por tanto, cada ángulo de un polígono mide 540/5=108º. Supongamos que dibujamos dos diagonales adyacentes en un pentágono, formando tres triángulos isósceles (figura 5).
|
||
![]() |
||
|
Los ángulos iguales en la base del triángulo interior miden 72º. Si bisecamos uno de estos ángulos obtenemos un triángulo menor BCD.
Los triángulos ABC y BCD son semejantes, luego:
|
||
![]() |
||
|
pero DB=BC=AD, luego:
|
||
![]() |
||
|
además AB=AC, entonces:
|
||
![]() |
||
|
Esto es, D divide el segmento AC en la razón aúrea; también tenemos, que:
|
||
![]() |
||
|
es decir, en el pentágono regular la razón entre una diagonal y un lado es ϕ.
Si ahora dibujamos todas las diagonales del pentágono obtenemos un pentagrama (figura 6).
|
||
![]() |
||
|
Observemos que se forma nuevamente un pentágono regular más chico, donde podemos nuevamente formar un pentagrama y así sucesivamente hasta el infinito. Ahora, también formamos un pentagrama si extendemos los lados del pentágono original y unimos las cinco puntas, es decir, se forma nuevamente un pentágono regular y así podemos continuar hasta el infinito.
Utilizando la semejanza de triángulos podemos observar que la razón entre los lados marcados en la figura también es la razón aúrea, esto es:
|
||
![]() |
||
| Veamos ahora, algunas propiedades algebraicas de la razón aúrea. Supongamos que queremos determinar el valor de: | ||
![]() |
||
|
entonces, elevando al cuadrado la ecuación tenemos que:
|
||
![]() |
||
| es decir, x2 =1+x, que es precisamente la razón aúrea. Observemos también que podemos definir la razón aúrea mediante una fracción continua, es decir: | ||
![]() |
||
|
esto lo podemos escribir como:
|
||
![]() |
||
|
que nuevamente nos define la razón aúrea.
¿Qué relación hay entre esto y la sucesión de Fibonacci? Como vimos, la sucesión de Fibonacci está formada por los números: 1, 1, 2, 3, 5, 8, 13, 21,34, 55, 89, 144,…, consideremos la razón de los números sucesivos, calculados hasta el sexto decimal:
|
||
![]() |
||
|
vemos que convergen a la razón aúrea, es decir:
|
||
![]() |
||
|
se aproxima a ϕ cuando n se hace suficientemente grande. Esta propiedad fue descubierta en 1611 por el famoso astrónomo alemán Johannes Kepler, pero pasaron más de cien años antes de que la relación entre los números de Fibonacci y la razón aúrea fuera demostrada por el matemático escocés Robert Simson.
Por otra parte, hay un gran número de hechos curiosos que pueden deducirse a partir de distintas relaciones con los números de Fibonacci. Veamos algunas de ellas.
Cuadrando rectángulos. Si sumamos un número impar de productos de números sucesivos de Fibonacci, como por ejemplo:
|
||
![]() |
||
|
obtenemos el cuadrado del último número de Fibonacci que se utilizó:
|
||
![]() |
||
|
Esta propiedad puede representarse geométricamente de manera muy bonita. Consideremos rectángulos cuyos lados miden dos números de Fibonacci consecutivos, es decir, un cuadrado de 1×1, un rectángulo de 1×2, uno de 3×5 y así sucesivamente. Los acomodamos como se muestra en la figura 7 y vemos que se forma un cuadrado de lado 21.
Divisibilidad entre 11. Si sumamos los primeros diez números de Fibonacci obtenemos un número divisible entre 11, es decir: |
||
![]() |
||
| Lo mismo es cierto al considerar cualesquiera diez números consecutivos de dicha sucesión. Además, la suma de diez números consecutivos de Fibonacci es siempre igual a once veces el séptimo número que aparece en la suma de los diez números consecutivos, por ejemplo: | ||
![]() |
||
| Periodicidad en los números de Fibonacci. Los números de Fibonacci se hacen muy grandes rápidamente, ya que siempre añadimos dos para formar el tercero. Por ejemplo, el quinto número de Fibonacci es 5 mientras el número 125 es 59 425 114 757 512 643 212 875 125. Pero, ¿cómo podemos calcular los números de Fibonacci sin conocer los anteriores? En el siglo xix, el matemático francés Jacques Phillipe Marie Binet redescubrió una fórmula, que aparentemente ya sabían desde el siglo anterior Leonard Euler y Abraham de Moivre, la cual permite conocer cualquier número de Fibonacci (Fn) si sabemos su lugar en la secuencia, y sin haber calculado todos los anteriores. Esta fórmula esta relacionada con la razón aúrea: | ||
![]() |
||
| A primera vista, es desconcertante; ya que ni siquiera es obvio que si sustituimos varios valores de n nos dará un entero. Como ya sabemos que los números de Fibonacci están íntimamente relacionados con la razón de oro, tal vez sea menos sorpresiva, pues el primer término simplemente es la razón aúrea elevada a la potencia n, es decir, ϕn y el segundo es (1/ϕ)n. Para valores grandes de n, el segundo término tiende a cero y entonces el n-ésimo número de Fibonacci se acerca mucho: | ||
![]() |
||
|
Por ejemplo, el décimo número de Fibonacci se aproxima a:
|
||
![]() |
||
|
y precisamente es 55.
|
||
|
Veamos ahora las propiedades de periodicidad. El segundo número de Fibonacci es 1 y el número 62 es 4 052 739 537 881, que termina en 1; el número que está en el lugar 122 es 14 028 366 653 498 915 298 923 761, que también termina en 1. De hecho, puede verse que la terminación en 1 se presenta cada 60 números de Fibonacci. Similarmente, el número que está en el lugar 14 es 377 y el número que ocupa el lugar 74 es 1 304 969 544 928 657, que también termina en 7, y así sucesivamente. Esta propiedad fue descubierta por el matemático francés J. Louis Lagrange en 1774.
Los últimos dos dígitos, si pensamos en la sucesión como 01, 01, 02, 03, 05, 08, 13, 21,…, se repiten en la secuencia cada 300 números, es decir, con periodicidad 300 y los últimos tres dígitos con periodicidad de 1 500. En 1963, Stephen P. Geller usó una computadora para mostrar que los últimos cuatro dígitos se repiten con una periodicidad de 15 000, los últimos cinco con periodicidad de 150 000 y los últimos seis con una periodicidad de 1 500 000. No continuó porque su computadora no pudo calcular más números. Geller comentó en dicha ocasión que “no parece haber ninguna manera de adivinar el próximo periodo, pero tal vez haciendo un nuevo programa para la máquina que permita iniciar la secuencia en cualquier punto, recortará el tiempo necesario de trabajo y se puedan calcular más números”. Poco tiempo después, el matemático israelí Dov Jarden probó rigurosamente que para cualquier número de Fibonacci de tres o más dígitos la periodicidad está relacionada con el número de dígitos que queremos que sean iguales, es decir, la periodicidad será 15×10n–1, donde n es el número de dígitos que queremos que se repitan —por ejemplo, para tener periodicidad de siete dígitos, tenemos que ésta será cada 15×106 números.
Los números de Fibonacci y las ternas Pitagóricas. Las ternas Pitagóricas son tripletas de números que forman los catetos de un triángulo rectángulo y su hipotenusa; es decir, los números a, b y c forman una terna Pitagórica si:
|
||
![]() |
||
|
Por ejemplo, una terna está formada por los números 3, 4, 5, ya que 32+42=52. Veamos cómo están relacionadas estas ternas con los números de Fibonacci. Si tomamos cuatro números de Fibonacci consecutivos cualesquiera, el producto de los dos números en los extremos, dos veces el producto de los números centrales y la suma de los cuadrados de los números centrales, nos dan los tres lados de un triángulo de Pitágoras. Esta propiedad fue descubierta por el matemático Charles Raine. Por ejemplo, si tomamos los números 1, 2, 3, 5, entonces 1×5=5, 2×2×3=12 y la suma de los cuadrados 22+32=13, nos da la tripleta Pitagórica 5, 12, 13 (52+122=132). Pero esto no es todo, en este caso se observa además que 13 es un número de Fibonacci.
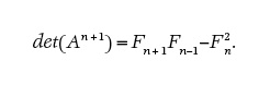
La fórmula de Jean Dominique Cassini. En 1680, el astrónomo Jean Dominique Cassini, jugando con los números de Fibonacci, descubre una identidad interesante que ha sido la base de una de las paradojas geométricas favoritas de Lewis Carroll. Si consideramos la matriz:
|
||
![]() |
||
|
multiplicando a A por sí misma, tenemos:
|
||
![]() |
||
|
repitiendo la operación, tenemos:
|
||
![]() |
||
|
en general, tenemos que:
|
||
![]() |
||
| donde Fi son los números de Fibonacci. Considerando que el determinante de una matriz de 2×2 se define como: | ||
![]() |
||
|
tomamos ahora el determinante de An+1; tenemos que:
|
||
![]() |
||
| Ahora bien, como los determinantes tienen la propiedad de que det(A·B)=detA·detB, tenemos que: | ||
![]() |
||
|
que es la conocida fórmula de Cassini.
|
||
|
Veamos ahora la paradoja geométrica relacionada con esta fórmula. Consideremos un cuadrado de lado 8 y dividámoslo en cuadrados de lado uno, como se muestra en la figura 8.
|
||
![]() |
||
| Recortemos el cuadrado original por las líneas marcadas y reacomodamos los pedazos para formar un rectángulo de lados F7=13 y F5=5, como se muestra en la figura 9. | ||
![]() |
||
|
El cuadrado tiene un área de 8×8=64 unidades, mientras que el rectángulo tiene un área de 5×13=65 unidades, es decir, F7F5–F26=–1. De hecho, la fórmula de Cassini nos dice que ganamos o perdemos un cuadradito dependiendo de si n es par o impar. La pregunta sería, ¿dónde está el cuadradito que tiene de más el rectángulo?
La realidad es que los bordes de los trozos 1, 2, 3 y 4 no coinciden a lo largo de la diagonal pq, sino que forman el paralelogramo psqr que se muestra, de una forma exagerada, en la figura 10. En realidad, este paralelogramo tiene área 1.
|
||
![]() |
||
|
El ángulo spr es tan pequeño que nunca se llega a percibir el paralelogramo, a menos que se recorten y se coloquen los trozos con mucho cuidado. En realidad, es muy fácil ver, utilizando trigonometría, que el ángulo spr es verdaderamente pequeño.
Los números de Fibonacci, la razón aúrea y los fractales. A lo largo de la historia, una de las pasiones comunes de los artistas y los matemáticos ha sido el problema de cómo cubrir el plano con polígonos regulares o cómo llenar el espacio con poliedros regulares.
Los cuadrados, los triángulos equiláteros y los hexágonos se pueden juntar de manera muy sencilla para cubrir el plano, es decir, teselar el plano. Si uno quiere obtener un patrón que se repita en intervalos regulares —esto se conoce como teselación periódica—, utilizando los polígonos mencionados es muy sencillo, como se muestra en los polígonos de la figura 11.
|
||
![]() |
||
|
Como se observa en las figuras, si rotamos un cuadrado 90º, éste permanece igual, es decir, si lo rotamos cuatro veces cubrimos un área del plano sin dejar huecos. Análogamente, los triángulos equiláteros tienen simetría si los rotamos una tercera parte de un círculo, es decir, 120º, y si fijamos uno de los vértices del triángulo y lo rotamos seis veces cubrimos una región del plano. De la misma forma, esto sucede para los hexágonos.
Teselaciones periódicas pueden generarse con figuras más complicadas; sin embargo, los pentágonos no pueden utilizarse para cubrir el plano. Como se expuso en la construcción de pentágonos y pentagramas, los ángulos del pentágono miden 108º. Si hacemos que coincidan tres vértices de tres pentágonos, la suma de sus ángulos es 324º; es decir, quedará un hueco y nunca podrá cubrirse una región del plano. R. Penrose y J. H. Conway demostraron que el plano se puede cubrir con algunas figuras de forma no periódica. Los trabajos de teselación de Penrose se generalizaron a tres dimensiones. Así como puede cubrirse el plano con polígonos, podemos llenar el espacio con bloques. Robert Ammann descubrió algunas figuras geométricas para llenar el espacio y, proporcionando algunas reglas de cómo pegar las caras, logró construir patrones no periódicos en el espacio. Las teselaciones de Penrose y de Ammann habrían permanecido en el área de matemáticas recreativas si no es por un descubrimiento realizado en 1984. En ese año, unos científicos israelíes encontraron que hay algunos cristales de manganeso de aluminio que tienen configuraciones no periódicas. En realidad, esto fue una gran sorpresa para los físicos y los cristalógrafos que por décadas estuvieron convencidos de que los cristales o son periódicos o altamente desordenados, es decir, completamente amorfos. Por ejemplo, un átomo de sal tiene una forma cúbica perfecta, la cual forma estructuras periódicas, mientras que en el vidrio los átomos están completamente desordenados. Antes de este descubrimiento, muy pocos sospechaban que existía otro estado de la materia que comparte aspectos importantes con los cristales o con las sustancias amorfas. A esta nueva clase de cristales se les conoce como cuasi cristales.
El modelo de Steinhardt-Jeong de cuasicristales tiene una propiedad interesante que produce efectos ordenados de largo alcance partiendo de las interacciones de los vecinos, sin que esto nos lleve a estructuras periódicas como los cristales. Sorprendentemente, podemos encontrar esta propiedad en los números de Fibonacci. Consideremos el siguiente algoritmo para generar la sucesión conocida como sucesión aúrea. Comenzamos con el número 1, y reemplazamos el 1 por el 10. De aquí en adelante, reemplazamos los 1 por 10 y el 0 por 1. Así, obtenemos: |
||
![]() |
||
| y así sucesivamente. Claramente, empezamos aquí con una regla de corto alcance —es decir, transformamos el 0 en 1 y el 1 en 10— y obtenemos una sucesión no periódica. Notemos que el número de unos y de ceros en cada paso forma una sucesión de Fibonacci. Conforme la sucesión se hace más larga, se puede observar que, la razón entre el número de unos y de ceros se aproxima además a la razón aúrea. Más aún, si en esta sucesión de unos y de ceros reemplazamos los ceros por una pareja de conejos bebés y los unos por una pareja de conejos adultos, entonces obtenemos la sucesión de conejos con la que iniciamos, finalizando así nuestro breve recorrido por uno de los problemas más fascinantes en la historia de las matemáticas. | ||
|
Radmila Bulajich,
Facultad de Ciencias,
Universidad Nacional Autónoma de México.
|
||
|
Referencias bibliográficas
Vorobyov, N. N. 1973. Los números de Fibonacci. Ed. Limusa.
Lang, S. 1990. Introducción al Álgebra Lineal. Addison Wesley Iberoamericana.
Livio, M. 2002. The Golden Ratio. Broadway Books.
Collingwood, S.D. 1961. Diversions and Disgressions of Lewis Carroll. Dover.
|
||
|
Radmila Bulajich Manfrino cursó la licenciatura en Matemáticas en la Facultad de Ciencias de la unam. Posteriormente, realizó estudios de posgrado en Inglaterra y en México. Desde 1978 es profesora de tiempo completo en la Facultad de Ciencias, unam. Es miembro del Sistema Nacional de Investigadores.
_______________________________________________________________
como citar este artículo → Bulajich, Radmila. (2006). Una sucesión y un número que han hecho historia. Ciencias 84, octubre-diciembre, 52-62. [En línea]
|
||
| ←Regresar al índice ⁄artículo siguiente→ | ||

















































